티스토리 뷰
도둑이 보석가게에 배낭을 메고 침입했다.
배낭의 최대 용량은 W이며, 이를 초과해서 보석을 담으면 배낭이 찢어질 것이다.
각 보석들의 무게와 가격은 알고 있다.
배낭이 찢어지지 않는 선에서 가격 합이 최대가 되도록 보석을 담는 방법은?
흔히 알고리즘을 배울 때 자주 등장하는 문제 중 하나인 배낭 채우기 문제 (Knapsack Problem) 이다. 그 중에서도 보석을 자를 수 있다고 가정하는 Fractional Knapsack 문제와 자를 수 없다고 가정하는 0-1 Knapsack 문제가 있는데, 전자보다는 후자가 주로 다루어진다.
0-1 Knapsack 문제는 다이나믹 프로그래밍 (Dynamic Programming: DP) 이라는 방법을 쓰는 기본적인 문제로 알려져 있다. 알고리즘 문제를 푸는 방법론들에 대해서 아직 잘 모르는 상태에서 이 문제를 보면 딱 생각나는 방법은 두 가지 정도가 있을 것이다.
1) 모든 경우의 수를 넣어본다 (Brute-Force)
n개의 보석이 있다고 치면, n개 보석으로 만들 수 있는 가능한 부분집합 (power set) 의 수는 2^n개이다. 최악의 경우에 2^n번까지 봐야 하는, 즉 O(2^n) 의 알고리즘은 너무 느리다.
2) 가격이 높은 보석, 혹은 (가격/무게) 의 값이 제일 높은 보석부터 먼저 골라서 넣는다 (Greedy)
아래의 그림을 보자. 가격이 제일 높은 보석을 먼저 고르는 방법을 쓴다고 하면, 오른쪽 아래에 있는 빨간 보석을 먼저 고르고 그 다음 왼쪽에 있는 노란 보석을 고를 것이다. 그러면 10kg가 차고 가격의 합은 $16이 된다.
그렇지만 그림을 잘 보면서 다른 방법을 찾아보면, 왼쪽 보석 3개를 넣으면 10kg/$17이 된다는 걸 쉽게 알 수 있고, 1/2/3/4kg짜리를 하나씩 조합해서 넣으면 $19까지도 나온다. 즉 이 방법은 최적의 답을 보장하지 못한다.

단순히 가격만 보지 말고, '무게당 가격' 을 계산해서 제일 높은 것부터 넣으면 되지 않겠느냐고 생각할 수 있다. 실제로 위 그림의 예시에서는 그렇게 하면 최적의 답이 나오긴 한다. 하지만 언제나 그렇지는 않다. 다른 예시를 보자.
W=30kg
보석1: 5kg/$5 -- kg당 $1
보석2: 10kg/$6 -- kg당 $0.6
보석3: 20kg/$14 -- kg당 $0.7
이 경우에 '무게당 가격' 순으로 보석을 넣으면 보석1, 보석3이 들어가며 가격의 합은 $19이다. 그런데 배낭 무게가 5kg가 남는다. 보석2를 넣을 수는 없으므로 5kg는 그냥 쓸데없이 남는 공간이다. 보석2, 보석3을 넣으면 30kg가 꽉 차고 가격의 합이 $20이다. 도둑 입장에서 도망갈 때 배낭이 좀 더 무거울 수 있겠지만 어쨌든 문제의 조건은 배낭이 안 터지는 한도 내에서 가격 합을 최대화하는 것이므로 보석2, 3을 가져가는 것이 정답이다.
이처럼 특정한 기준을 정해놓고 그 기준의 값이 가장 높은 순으로 집는 걸 Greedy 알고리즘이라 하는데 0-1 배낭 채우기 문제는 Greedy한 방법으로는 풀 수 없는 문제이다.
참고: Fractional Knapsack 문제는 Greedy로 풀 수 있다. 위 예시에서 보석2를 반으로 잘라서 남은 5kg짜리 공간에 넣으면 그게 최적의 답이 된다
그래서 DP라는게 등장한다. DP는 큰 문제를 작은 문제로 쪼개서 해결한다 (Devide-and-Conquer) 라는 원리에 기반을 두고 있으며, 이전에 계산해둔 값을 메모리 (배열 등) 에 저장해서 반복 작업을 줄이는 기법 (Memoization) 이 핵심이다. 뭔 소리냐면 아래의 피보나치 수열을 계산하는 함수의 예시를 보자.


왼쪽은 피보나치 수열을 계산하는 파이썬 함수이다. 피보나치 수열을 구하는 문제는 재귀함수를 이용하는 대표적인 문제로 잘 알려져 있다. 여기서도 재귀를 사용해서 가장 기본적인 방법으로 구현했다.
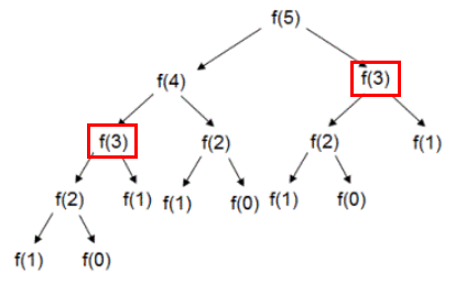
fib(5) 를 호출했다고 생각해보면 오른쪽 그림과 같이 재귀함수가 호출된다. 근데 빨간색으로 표시한 부분을 보면 왼쪽에서 이미 f(3) 을 한번 호출했는데, 오른쪽에서도 또 호출하고 있다. DP의 아이디어는 계산하는 값들을 어디다 저장해뒀다가, 저런 식으로 중복되는 계산이 나오면 저장해뒀던 값을 갖다 쓰자는 것이다. 그림에서 f(3) 의 값이 저장되어 있는 상태에서 f(3) 이 호출되면 그 값을 갖다 쓰도록 만들면, 오른쪽 트리의 f(3) 아래쪽 부분은 계산할 필요가 없게 된다.
아래는 DP를 적용한 피보나치 함수와 fib(40) 을 실행했을 때의 실행 시간 차이를 보여주는 것이다. 'memo' 라는 dict를 만드는데 메모리 공간을 소비하는 대신, 속도가 비약적으로 빨라지는 것을 알 수 있다.



이런 방법이 대체 어디가 다이나믹하냐 하면... 사실 다이나믹이라는 단어는 별 의미 없다. DP의 창시자에 따르면 다이나믹 프로그래밍이라는 이름은 연구비를 따와야 하는데 뭔가 있어보이는 이름이 필요해서 적당히 붙인 이름이라고 한다. (...) 대학원 다녀본 입장에서 공감된다
여튼 이 방법, DP를 0-1 배낭 채우기 문제를 푸는데 적용해보자. 어떤 문제를 DP로 풀기 위해서는 '최적의 원리' (Principle of Optimality) 가 성립하는지를 확인해야 하는데, 최적의 원리란 다음과 같다.
"어떤 문제의 입력사례의 최적해가 그 입력사례를 분할한 부분사례에 대한 최적해를 항상 포함하고 있으면, 그 문제에 대하여 최적의 원리가 성립한다."
이 문제에서 이 원리가 성립할까? 집합 A를 n개의 보석들 중에 최적으로 고른 부분집합이라고 가정하자.
- 집합 A가 n번째 보석을 포함하고 있지 않다면, A는 n번째 보석을 뺀 나머지 n-1개의 보석들 중에서 최적으로 고른 부분집합과 같다.
- 집합 A가 n번째 보석을 포함하고 있다면, A에 속한 보석들의 총 가격은 n-1개의 보석들 중에서 최적으로 고른 가격의 합에다가 보석 n의 가격을 더한 것과 같다. (단, n번째 보석을 넣었을 때 배낭이 터지지 않아야 한다)
지금 쓴 얘기를 점화식으로 풀어보면 아래와 같다.

P[i, w] 란 i개의 보석이 있고 배낭의 무게 한도가 w일 때 최적의 이익을 의미한다. 식을 좀 문장으로 풀어보면 이렇다.
- i번째 보석이 배낭의 무게 한도보다 무거우면 넣을 수 없으므로 i번째 보석을 뺀 i-1개의 보석들을 가지고 구한 전 단계의 최적값을 그대로 가져온다
- 그렇지 않은 경우, i번째 보석을 위해 i번째 보석만큼의 무게를 비웠을 때의 최적값에 i번째 보석의 가격을 더한 값 or i-1개의 보석들을 가지고 구한 전 단계의 최적값 중 큰 것을 선택한다
P라는 2차원 리스트를 채워나가면서, 필요한 경우 "앞에서 계산했던 다른 칸의 값을 이용해서" 다음 칸의 값을 계산한다. 그래서 이게 DP 문제인 것이다.

DP를 위한 2차원 리스트가 만들어지는 과정을 한번 보자 (위에서는 P였는데 여기서는 V로 썼다).
일단 i가 0인 경우는 넣을 보석이 없는 것이므로 다 0이고, w가 0인 경우는 배낭이 없는 것이므로 다 0이다. 그러니까 첫번째 행이랑 첫번째 열은 다 0으로 채워넣고 시작한다.

i=1인 경우부터 한칸씩 보자. (i, w)가 (1, 1) 인 경우에는 w=1짜리 배낭으로는 아무 보석도 넣을 수 없으므로 0이다. 그 다음 칸, (1, 2) 인 경우에는 이제 1번 보석을 넣을 수 있으니까 V[1, 2] = 3이 된다. 직관적으로는 이렇고, 위의 식을 통해서 보면 '1번 보석의 가치 + V[0, 0]' 의 값과 V[0, 2] 의 값을 비교해서 더 큰 쪽을 가져가게 되는데, 1번 보석의 가치는 3이고 V[0, 0] 과 V[0, 2] 는 둘 다 0이므로 전자를 선택하게 된다.
현재 i=1이므로 1번 보석을 넣고 나면 더 이상 넣을 게 없으니 오른쪽의 남은 칸들도 다 3일 것이다.

i=2인 경우를 보면, w=2일때는 현재 보고있는 2번 보석 (3kg) 을 넣을 수 없으므로 바로 윗칸의 3을 가져온다 (1번 보석을 넣는다는 뜻). w=3이 되면 2번 보석을 넣을 수 있게 되는데, 1번 보석을 넣었을 때 (바로 윗칸) 랑 2번 보석을 넣을만큼의 공간을 확보하고 2번 보석을 넣었을 때 (즉, 2번 보석의 가치 + V[1, 0]) 를 비교해서 더 가치가 높은 쪽을 선택한다. 그래서 4가 들어간다.

(i, w) 가 (2, 5) 인 경우에는 1번 보석과 2번 보석을 둘 다 넣을 수 있다. 이미 3이 들어있는 (1, 2) 에서 최적값을 가져온다는 것이 1번 보석을 빼지 않고도 2번 보석을 넣을 수 있음을 의미한다. 즉 1번 보석을 넣었던 칸의 최적값 (3) + 2번 보석의 가격 해서 7이 들어간다.

이런 식으로 나머지 칸들도 계산해보면 마지막 칸에는 결국 7이 들어가고, 이 마지막 칸의 값이 최종적인 답 (최적의 총 가격) 이 된다.
아래는 이를 파이썬 함수로 구현한 것이다. DP를 위한 2차원 리스트를 만든 다음, 0번째 행/열을 0으로 세팅하고 나면 나머지는 위의 점화식을 그대로 프로그램으로 옮기면 된다. 위에선 P, V였던게 여기선 또 K인데 신경쓰지 말자
def knapsack(W, wt, val, n): # W: 배낭의 무게한도, wt: 각 보석의 무게, val: 각 보석의 가격, n: 보석의 수
K = [[0 for x in range(W+1)] for x in range(n+1)] # DP를 위한 2차원 리스트 초기화
for i in range(n+1):
for w in range(W+1): # 각 칸을 돌면서
if i==0 or w==0: # 0번째 행/열은 0으로 세팅
K[i][w] = 0
elif wt[i-1] <= w: # 점화식을 그대로 프로그램으로
K[i][w] = max(val[i-1]+K[i-1][w-wt[i-1]], K[i-1][w]) # max 함수 사용하여 큰 것 선택
else:
K[i][w] = K[i-1][w]
return K[n][W]
백준 온라인 저지의 12865번 문제가 정확히 이 0-1 배낭 채우기 문제인데, 이게 제대로 짠게 맞는지 확인차 오랜만에 들어가서 돌려봤더니 다행히 '맞았습니다!!' 가 떴다. 이 문제를 풀기 위한 나머지 코드도 아래에 써둔다.
wt = []
val = []
N, K = map(int, sys.stdin.readline().strip().split())
for i in range(N):
w, v = map(int, sys.stdin.readline().strip().split())
wt.append(w)
val.append(v)
print(knapsack(K, wt, val, N))
메모: map 함수는 2번째 인자의 값에다가 일괄적으로 1번째 인자에 해당하는 함수를 적용시켜주는 함수다. 알고리즘 문제를 많이 풀어보지 않아서 잘 몰랐는데, 보통 이런 식으로 값을 많이 받는 모양이더라. 입력받을 땐 문자열인데 써먹을 땐 숫자로 써야 하니까 일괄적으로 int() 를 먹여서 타입 캐스팅을 해주는 것이다.